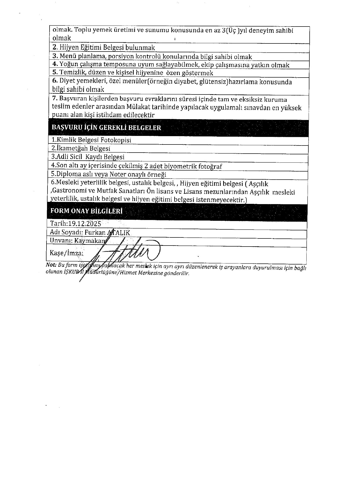
Elazığ Keban SYDV Süreksiz 2 Emekçi Alacak
Elazığ Keban SYDV Süreksiz 2 Personel Alacak. Son müracaat tarihi 28 Aralık 2025
İlan Tarihi: 23.12.2025 23:08

20:16 Tem Oto Yolu Sapanca Mevkiinde Büyük Kaza
21:16 Gümüşte Kritik Hareket! Piyasalar Alarmda: Büyük Kırılım mı Geliyor?
19:54 Putin’den Avrupa açıklaması: ‘Hazırız’ diye duyurdu
19:12 Netanyahu’dan İran açıklaması
19:11 İstanbul’da yarın okullar tatil olacak mı? İstanbul Valiliğinden yeni açıklama
05:09 Libya Genelkurmay Başkanı Uçak Kazasında Hayatını Kaybetti
19:41 Atalay’dan ‘asgari ücret’ açıklaması: Kabul edeceğimiz bir sayı değil!
19:40 Son dakika: İşsizlik maaşı meblağları netleşti: İşte en düşük ve en yüksek sayılar
16:27 Yeşilay’dan ikaz: Ünlülerin uyuşturucu haberleri ‘normalleşme’ riski taşıyor!
Elazığ Keban SYDV Süreksiz 2 Personel Alacak. Son müracaat tarihi 28 Aralık 2025
İlan Tarihi: 23.12.2025 23:08
